Digital gagetと雑多な出来事 since 2005
- 2026.03«
- 1
- 2
- 3
- 4
- 5
- 6
- 7
- 8
- 9
- 10
- 11
- 12
- 13
- 14
- 15
- 16
- 17
- 18
- 19
- 20
- 21
- 22
- 23
- 24
- 25
- 26
- 27
- 28
- 29
- 30
最新記事
(06/09)
(03/31)
(09/15)
(02/17)
(05/05)
(09/09)
(01/15)
コメント
[11/01 Watsonbhi]
[09/24 ErnestSpeva]
[09/23 Anthonypeack]
[09/23 Martinpaura]
[09/23 Jerrywhers]
ブログ内検索
ドライブコンパス
カテゴリー
×
[PR]上記の広告は3ヶ月以上新規記事投稿のないブログに表示されています。新しい記事を書く事で広告が消えます。
今日、「日記を更新しなさい」と怒られた・・・。
(´・ω・`)ショボーン
あの・・・日記じゃないんですけど・・・
でもって、ネタ探しにブックマークの整理をかねてwebを・・・
「仮想生命体の育成シミュレーション装置」が実用新案登録されていたことをハケーン!
最近また売ってるらしいね。そんなに面白いとは思わなかったけど・・・。
それよりも でんでんタウン で売っていた4倍速アクセラレータの方がネタ的に面白かった。
速すぎて液晶がついていかない!即死!ってなもんで・・・。
こんなモノ、なんのために作ったんだろう?と思うほどの一品であった。
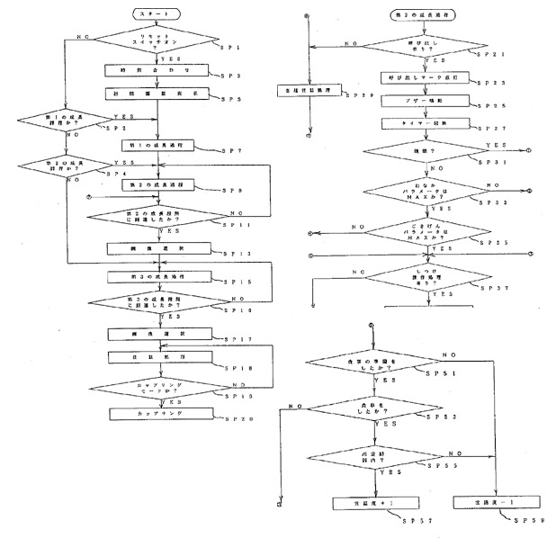
話はもどって、理論を読めば「はぁ~ん、なるほど」と思うところもあるのが、至ってシンプルなモンですね。
ちなみにフローの一部はこれ。

そんでもって総キャラは全28種類

何をどう操作すればいいのかみえてくる。
なので、全ての操作が予定通り完璧にできれば、思い通りのキャラを出すことが可能というわけだ。
やっぱり、つまんない・・・
ところで発案者は女性だと聞いていたが、新案登録申請者は男性と思われる名前だ。∑( ̄□ ̄;
奇しくもCIが流行っていた時期なので、女性を前面に出してイメージアップを図ったかな?と裏読みしてしまうなぁ~。(ちなみにこの女性は金一封&部長級に昇進だった記憶がある)
実用新案権者は発売元だけど、単に外注だし・・・。
まだこっちの方がバカバカしくておもしろいかも知れないね。
こんなので特訓したら死んじゃうって・・・!( ̄ー ̄)ニヤリ
(´・ω・`)ショボーン
あの・・・日記じゃないんですけど・・・
でもって、ネタ探しにブックマークの整理をかねてwebを・・・
「仮想生命体の育成シミュレーション装置」が実用新案登録されていたことをハケーン!
最近また売ってるらしいね。そんなに面白いとは思わなかったけど・・・。
それよりも でんでんタウン で売っていた4倍速アクセラレータの方がネタ的に面白かった。
速すぎて液晶がついていかない!即死!ってなもんで・・・。
こんなモノ、なんのために作ったんだろう?と思うほどの一品であった。
話はもどって、理論を読めば「はぁ~ん、なるほど」と思うところもあるのが、至ってシンプルなモンですね。
ちなみにフローの一部はこれ。
そんでもって総キャラは全28種類
何をどう操作すればいいのかみえてくる。
なので、全ての操作が予定通り完璧にできれば、思い通りのキャラを出すことが可能というわけだ。
ところで発案者は女性だと聞いていたが、新案登録申請者は男性と思われる名前だ。∑( ̄□ ̄;
奇しくもCIが流行っていた時期なので、女性を前面に出してイメージアップを図ったかな?と裏読みしてしまうなぁ~。(ちなみにこの女性は金一封&部長級に昇進だった記憶がある)
実用新案権者は発売元だけど、単に外注だし・・・。
まだこっちの方がバカバカしくておもしろいかも知れないね。
こんなので特訓したら死んじゃうって・・・!( ̄ー ̄)ニヤリ
PR
んー着メロって言葉はもう死語なのか?と思うような勢いで携帯電話の性能が上がってますね。
今は着うた"ふる!"ってところでしょうか?
でも、フルコーラスであってもそんなに長い間コールされるとは考えにくいけど・・・
だいたい長くても20~30秒で切りますよね?
しかもDLのパケット量もさぞかし多いことでしょう・・・
でも着メロサイトは結構力入れてますよねぇ。
広告収入ってそんなに儲かるんかいな?と思うほど。
当然だが携帯専用サイトだし、きちんとUserAgent拾ってるし。
そんでもって豊富なimode用(docomo用と言った方がいいのか?)の着メロサイトからいただいてくるわけでして・・・。
だって「全曲無料」なんですから
パソコンから携帯専用サイトにアクセスするわけですから、ブラウザのUserAgentもそれなりにしないと・・・。
たとえば、P900i ならUserAgentは DoCoMo/2.0 *****(c***;T*;W2***1) なんで、それをブラウザにぶち込む!
そんだけ・・・。
たまに偽装を見破るサイトもあるがそんなとこは無視!
パケ代気にせずDL放題なワケだが、一応コピープロテクトはかかっている。
pc→kは可能だが、K→Kはダメ。
とあるフラグを書き換えるだけで解除!はい、簡単だね。
この辺を見ると、一応携帯もコンピュータの同類なんだなぁ~と今更ながらに思うわけでして。
なんか最近アクセスが多い・・・。
自分で作ってみようと思う人は@niftyのmidiフォーラムが使えるなぁ~。着メロだけどね。
えっ、著作権?大丈夫ですよ!
文化庁もOKなわけですから・・・。
今は着うた"ふる!"ってところでしょうか?
でも、フルコーラスであってもそんなに長い間コールされるとは考えにくいけど・・・
だいたい長くても20~30秒で切りますよね?
しかもDLのパケット量もさぞかし多いことでしょう・・・
でも着メロサイトは結構力入れてますよねぇ。
広告収入ってそんなに儲かるんかいな?と思うほど。
当然だが携帯専用サイトだし、きちんとUserAgent拾ってるし。
そんでもって豊富なimode用(docomo用と言った方がいいのか?)の着メロサイトからいただいてくるわけでして・・・。
だって「全曲無料」なんですから
パソコンから携帯専用サイトにアクセスするわけですから、ブラウザのUserAgentもそれなりにしないと・・・。
たとえば、P900i ならUserAgentは DoCoMo/2.0 *****(c***;T*;W2***1) なんで、それをブラウザにぶち込む!
そんだけ・・・。
たまに偽装を見破るサイトもあるがそんなとこは無視!
パケ代気にせずDL放題なワケだが、一応コピープロテクトはかかっている。
pc→kは可能だが、K→Kはダメ。
とあるフラグを書き換えるだけで解除!はい、簡単だね。
この辺を見ると、一応携帯もコンピュータの同類なんだなぁ~と今更ながらに思うわけでして。
なんか最近アクセスが多い・・・。
自分で作ってみようと思う人は@niftyのmidiフォーラムが使えるなぁ~。着メロだけどね。
えっ、著作権?大丈夫ですよ!
文化庁もOKなわけですから・・・。
ひさびさにおすすめオンラインソフトのページを訪問。
あら?sleipnerの検索鯖リスト出てるじゃん…とっくの昔に…というわけで即ゲト!
最近はいろんなソフトがあるねぇ~。でも定番というか「これ!」って言うモノが少ないね。
その昔(って言ってもそんなに古くない)はarchiverならzipもあったけど8bitに対応しているlhaが定番(今はzipも8bit対応)だったし、海外へのメールに添付するならishとか…。(でも象さんが好き)
インプラント系はJDA。でも最強はサムデコ(配布終了)かなぁ~。
最近の定番はナンザンショ?
ブラウザはタブブラウザでしょ。ネスケもあるが軽いsleipnerの方が使える気がする。
メールクライアントは電8?becky!?AL-Mail?
thunderbirdとfirefoxも捨てがたいなぁ~
ネカフェ渡り歩くなら後者だね。USBメモリに構築できるから持ち歩けるモンね。
でもワチキはネカフェに(今のところ)行くことはないのであんまり恩恵なしかな?
photoshopは高くて買えないからGimpだね。
editorはTextはemeditor、BinaryはedbinとBzを好んで使っている。
バイナリエディタを2つも選んでいるのは、特にVB製のゲームの解析と着メロのプロテクト外しで随分助かったので…。
ねこまんまとOllyDbgも忘れちゃいけない…
なぁ~んて書いているが、bookmarkされたページへの訪問もたまにしかしないわけだが、巷ではどんなソフトが定番化しているんだろう…
XDAWINやSoftIceなんか最近使わないのかなぁ~。
…と思ったらSoftIceがGUI化されていて使いやすそう。
あら?sleipnerの検索鯖リスト出てるじゃん…とっくの昔に…というわけで即ゲト!
最近はいろんなソフトがあるねぇ~。でも定番というか「これ!」って言うモノが少ないね。
その昔(って言ってもそんなに古くない)はarchiverならzipもあったけど8bitに対応しているlhaが定番(今はzipも8bit対応)だったし、海外へのメールに添付するならishとか…。(でも象さんが好き)
インプラント系はJDA。でも最強はサムデコ(配布終了)かなぁ~。
最近の定番はナンザンショ?
ブラウザはタブブラウザでしょ。ネスケもあるが軽いsleipnerの方が使える気がする。
メールクライアントは電8?becky!?AL-Mail?
thunderbirdとfirefoxも捨てがたいなぁ~
ネカフェ渡り歩くなら後者だね。USBメモリに構築できるから持ち歩けるモンね。
でもワチキはネカフェに(今のところ)行くことはないのであんまり恩恵なしかな?
photoshopは高くて買えないからGimpだね。
editorはTextはemeditor、BinaryはedbinとBzを好んで使っている。
バイナリエディタを2つも選んでいるのは、特にVB製のゲームの解析と着メロのプロテクト外しで随分助かったので…。
ねこまんまとOllyDbgも忘れちゃいけない…
なぁ~んて書いているが、bookmarkされたページへの訪問もたまにしかしないわけだが、巷ではどんなソフトが定番化しているんだろう…
XDAWINやSoftIceなんか最近使わないのかなぁ~。
…と思ったらSoftIceがGUI化されていて使いやすそう。
ヤマダ電機で売っているフロンティア神代のBTO
その昔、北関東で吹き荒れた「YKK戦争」の勝者「ヤマダ電機」が最近フロンティア神代と提携してたのかTakeOver(日本ではM&Aと言うんだね)したのか知らないが、BTO販売をちょっと前(?)から始めたね。
まぁ、資本を見れば自社資本8千万から提携後5憶2千万になっているから実質M&Aだね。
「先着1名様 ○○パソコンが1円」なんて毎週広告で見かけたなぁ~。(餃子市在住時)
結構いいスペックだったけど、あの列に並ぶほどの気力は無かったな。
ところで、
なんで先着1名なのに並ぶのっ!
と聞きたいくらいだった…。
今思うと、コジマの半分くらいの店舗だったのに、ホームの前橋では結構なモンだったんだね。その頃は知らなかったよ。
コジマなんか新築してデカイのつくったモンね。当時は…。(あぁ、ヌマニウは潰れちまった…って、業種転換しただけだけど、コジマに負けたのは明白)
で、話は戻って、YKK戦争は続いているのか?
ヤマダは売り上げNo.1。続いてコジマ。ケーズも関西電波を喰うなど、このところ伸びてきている。(なぜか3社とも「電気」店ではなく「電機」店なのだ)
たしかにヤマダは量販店としてのPOPプライスは「安い」と感じさせる所がある。一方、コジマ、ケーズは値引き交渉でどこまで下がるか…といった感じで入店して「安い」と思わせる部分は少ない。
こういった価格競争はメーカー品ではNETの関係上限界があると思われる。
でもヤマダでBTO?
普通の感覚だと秋葉や日本橋、大須といった、いわゆるDOS/Vショップでパーツをかき集めるのでは無いだろうか?
ASCIIとかDOS/Vマガジンなんて広告抜いたらかなりスリムになるわけだし。(1/3くらいにはなるかな?)
ヤマダで買うメリットがわからない。BTOにするならダイレクトに神代で頼むだろ、普通。
デオデオと提携のエディオンに対抗かな?テックランドもコンプマートも似たようなモノ。(←東海地方のひとだけかな?)
でも個人的にはGOODWILLが好き。
ジャンクが置いてあったりするしね。うちの現役カラープリンタは300円。最近調子悪い。でも元は取ったね。
8.4Gの外付けSCSIも本体から外したHDDを換装して13GB。そのうち40GBくらいになるんだろうなぁ~。購入価格は200円だし…。
機会があれば137GBの壁を越えられるかやってみたいね。
写真プリントはDPEに出せば20円弱だからランニングコスト考えるとプリンタで打ち出すなんてバカバカしくてやってられないし、一般家庭にあるプリンタなんて年賀状シーズンにフル稼働するくらいのモンじゃないのかな?
おっと、また話がそれた…
で、なんでヤマダでBTOなの?テックランドでパーツ売ってるじゃん!
リテールもの?バルクでいいじゃん!バルクで!!
自分で組めない客なら
メーカー物をお勧めしなさいっ!
ヤマダ電機さん…。 (`・ω・´)シャキーン
その昔、北関東で吹き荒れた「YKK戦争」の勝者「ヤマダ電機」が最近フロンティア神代と提携してたのかTakeOver(日本ではM&Aと言うんだね)したのか知らないが、BTO販売をちょっと前(?)から始めたね。
まぁ、資本を見れば自社資本8千万から提携後5憶2千万になっているから実質M&Aだね。
「先着1名様 ○○パソコンが1円」なんて毎週広告で見かけたなぁ~。(餃子市在住時)
結構いいスペックだったけど、あの列に並ぶほどの気力は無かったな。
ところで、
なんで先着1名なのに並ぶのっ!
と聞きたいくらいだった…。
今思うと、コジマの半分くらいの店舗だったのに、ホームの前橋では結構なモンだったんだね。その頃は知らなかったよ。
コジマなんか新築してデカイのつくったモンね。当時は…。(あぁ、ヌマニウは潰れちまった…って、業種転換しただけだけど、コジマに負けたのは明白)
で、話は戻って、YKK戦争は続いているのか?
ヤマダは売り上げNo.1。続いてコジマ。ケーズも関西電波を喰うなど、このところ伸びてきている。(なぜか3社とも「電気」店ではなく「電機」店なのだ)
たしかにヤマダは量販店としてのPOPプライスは「安い」と感じさせる所がある。一方、コジマ、ケーズは値引き交渉でどこまで下がるか…といった感じで入店して「安い」と思わせる部分は少ない。
こういった価格競争はメーカー品ではNETの関係上限界があると思われる。
でもヤマダでBTO?
普通の感覚だと秋葉や日本橋、大須といった、いわゆるDOS/Vショップでパーツをかき集めるのでは無いだろうか?
ASCIIとかDOS/Vマガジンなんて広告抜いたらかなりスリムになるわけだし。(1/3くらいにはなるかな?)
ヤマダで買うメリットがわからない。BTOにするならダイレクトに神代で頼むだろ、普通。
デオデオと提携のエディオンに対抗かな?テックランドもコンプマートも似たようなモノ。(←東海地方のひとだけかな?)
でも個人的にはGOODWILLが好き。
ジャンクが置いてあったりするしね。うちの現役カラープリンタは300円。最近調子悪い。でも元は取ったね。
8.4Gの外付けSCSIも本体から外したHDDを換装して13GB。そのうち40GBくらいになるんだろうなぁ~。購入価格は200円だし…。
機会があれば137GBの壁を越えられるかやってみたいね。
写真プリントはDPEに出せば20円弱だからランニングコスト考えるとプリンタで打ち出すなんてバカバカしくてやってられないし、一般家庭にあるプリンタなんて年賀状シーズンにフル稼働するくらいのモンじゃないのかな?
おっと、また話がそれた…
で、なんでヤマダでBTOなの?テックランドでパーツ売ってるじゃん!
リテールもの?バルクでいいじゃん!バルクで!!
自分で組めない客なら
ヤマダ電機さん…。 (`・ω・´)シャキーン
ひょんな事で知ったページの記事です。
地球博で展示されているリニアモーターカーの写真。
内装は至って普通というか、新幹線並なのかな?
なんで「リニアモーターカー」なんですかね?
"Train"じゃないんですよね?
でもなんか底部が気になりません?
希土類磁石が剥きだしだったりして…って、電磁石に決まってるじゃん!
レール(?)側は永久磁石だった記憶があるのですが、どのくらいの強さとか大きさとか全然知らないんですよね。
あ~なんかF=BIlsinθ]みたいなのありませんでした?
時速500kmでも秒速138m位にはなるわけですから1m進むのに7ms位なんですよね。
進行方向に対して1個の磁石の長さを50cm程度と仮定すると3.5ms。これが電流の1周期分の時間と考えると570π[rad/s]の角速度でFの計算をしなきゃならないわけですよね?
んっ?周波数にすると285Hz程度の正弦波交流でいいのか?
でも、元々60Hzだから約5倍に上げるインバータが必要だし、それを制御しなきゃダメなわけだし…。
エリーカのインホイールモータの制御でさえ時速400kmあたりが限界だったように思うのですが、この辺はどういう制御を施しているんでしょうか?
雨が降ったり、雪が降ったりしたときの磁界への影響とかも…。
まぁ、MPU自体は4GHzが市販されている時代ですから、大丈夫なんでしょうね。マルチタスクだし…多分…。
700系新幹線のあの「ふわ~」とした感覚はDOOM酔いの雰囲気があって嫌いなんですが、リニアだともっと凄いんですかね?
ついでに、ゼロスタートからの加速はジェットコースターで3G位のモノは実用化されているからリニアも採用?
仮に採用されれば新幹線のように「東京~品川」間で山の手・京浜東北に二度と並ばれることはない…かと。
でも、品川駅では止まれないね。きっと…(なんで軌道がの仮定が新幹線なんだろう…)
ただ、発進するときには東京電力がダウンしそうなくらいの電力が必要になるのかも…。
地球博で展示されているリニアモーターカーの写真。
内装は至って普通というか、新幹線並なのかな?
なんで「リニアモーターカー」なんですかね?
"Train"じゃないんですよね?
でもなんか底部が気になりません?
希土類磁石が剥きだしだったりして…って、電磁石に決まってるじゃん!
レール(?)側は永久磁石だった記憶があるのですが、どのくらいの強さとか大きさとか全然知らないんですよね。
あ~なんかF=BIlsinθ]みたいなのありませんでした?
時速500kmでも秒速138m位にはなるわけですから1m進むのに7ms位なんですよね。
進行方向に対して1個の磁石の長さを50cm程度と仮定すると3.5ms。これが電流の1周期分の時間と考えると570π[rad/s]の角速度でFの計算をしなきゃならないわけですよね?
んっ?周波数にすると285Hz程度の正弦波交流でいいのか?
でも、元々60Hzだから約5倍に上げるインバータが必要だし、それを制御しなきゃダメなわけだし…。
エリーカのインホイールモータの制御でさえ時速400kmあたりが限界だったように思うのですが、この辺はどういう制御を施しているんでしょうか?
雨が降ったり、雪が降ったりしたときの磁界への影響とかも…。
まぁ、MPU自体は4GHzが市販されている時代ですから、大丈夫なんでしょうね。マルチタスクだし…多分…。
700系新幹線のあの「ふわ~」とした感覚はDOOM酔いの雰囲気があって嫌いなんですが、リニアだともっと凄いんですかね?
ついでに、ゼロスタートからの加速はジェットコースターで3G位のモノは実用化されているからリニアも採用?
仮に採用されれば新幹線のように「東京~品川」間で山の手・京浜東北に二度と並ばれることはない…かと。
でも、品川駅では止まれないね。きっと…(なんで軌道がの仮定が新幹線なんだろう…)
ただ、発進するときには東京電力がダウンしそうなくらいの電力が必要になるのかも…。
PSPで動くゲームボーイエミュがあるそうで・・・
果たしてPSPでやらなければならないのであろうか?と考える輩には意味のないモノである。
PSPであることに意義があるのである。
過去にもZaurusではPDAであるにもかかわらず、Emu必須の感があった。
palmOS機には到底マネができない・・・
いや、「りなざう」がリリースされ、Emuだけでなくカーネル換装にまで手を出す始末・・・
技術者達の熱い思いと、軽い興味が全てなのである。
かつてWin98で95のShellを使い、MI_ZAURUSを入手して間もなくサービス画面を呼び出したり、docomo_p-inをType1に加工したり、GBAでCプログラムを走らせてみたり・・・
携帯端末を携帯端末としてだけ使うのではおもしろくないと思いませんか?
せっかくのマルチメディア端末なのですから・・・
元ネタ
さらしるさんトコ5/10にて、PSP上動作ゲームボーイエミュでSa・Gaを起動させてる画面が出てました。
2chスレ
PSP用エミュ総合スレ 黒い3年生
詳しくはこちら
Hello World for PSP
Hello PSP
SEC Wiki
果たしてPSPでやらなければならないのであろうか?と考える輩には意味のないモノである。
PSPであることに意義があるのである。
過去にもZaurusではPDAであるにもかかわらず、Emu必須の感があった。
palmOS機には到底マネができない・・・
いや、「りなざう」がリリースされ、Emuだけでなくカーネル換装にまで手を出す始末・・・
技術者達の熱い思いと、軽い興味が全てなのである。
かつてWin98で95のShellを使い、MI_ZAURUSを入手して間もなくサービス画面を呼び出したり、docomo_p-inをType1に加工したり、GBAでCプログラムを走らせてみたり・・・
携帯端末を携帯端末としてだけ使うのではおもしろくないと思いませんか?
せっかくのマルチメディア端末なのですから・・・
元ネタ
さらしるさんトコ5/10にて、PSP上動作ゲームボーイエミュでSa・Gaを起動させてる画面が出てました。
2chスレ
PSP用エミュ総合スレ 黒い3年生
詳しくはこちら
Hello World for PSP
Hello PSP
SEC Wiki
阿川さんのサイト「atty.org」にて、MPEG-1 や MPEG-4、DivX、XviD、Windows Media Video 等も再生できる動画及び音楽の再生ソフトMPlayer for Zaurus 1.1.2 が 2005/04/30 に公開されました。変更点は以下の通りです。
Video outドライバによる動画のローテート処理を追加しました。今まで起動オプションに追加していた-vf rotate=1オプションを単に外してください。ZPlayerの場合は「自動回転」のチェックを外してください。
ローテートの速度ですが、iWMMXt版は今までの-vf rotateより常に高速です。ARM版はQVGA程度の動画であれば-vf rotateのほうが高速ですが、それ以上の解像度になるとVideo outドライバのほうが高速になります。
また、Bechmarkも追加しました。参考にしてください。


Video outドライバによる動画のローテート処理を追加しました。今まで起動オプションに追加していた-vf rotate=1オプションを単に外してください。ZPlayerの場合は「自動回転」のチェックを外してください。
ローテートの速度ですが、iWMMXt版は今までの-vf rotateより常に高速です。ARM版はQVGA程度の動画であれば-vf rotateのほうが高速ですが、それ以上の解像度になるとVideo outドライバのほうが高速になります。
また、Bechmarkも追加しました。参考にしてください。


<<
前のページ
アーカイブ
Powerd by NINJA